Οργανώνουμε τη σκέψη μας με το CmapTools

Όλοι οι μαθητές, ιδίως αυτοί που έχουν μια προτίμηση και έφεση στην οπτική μάθηση, επωφελούνται εκφράζοντας ιδέες, πληροφορίες και σκέψεις χρησιμοποιώντας ένα συνδυασμό από σχήματα, χρώματα, εικόνες, κείμενο και ήχο.
Διδακτική αξιοποίηση των εννοιολογικών χαρτών
Οι εννοιολογικοί χάρτες επιτρέπουν στους μαθητές και τις μαθήτριες να:
- σχεδιάζουν
- αναλύουν τη σκέψη τους
- επεξεργάζονται πληροφορίες
- οργανώνουν τις ιδέες τους
- βλέπουν σχέσεις και να κάνουν συνδέσεις
- συγκρίνουν
- σκέφτονται δημιουργικά
- ενισχύουν τη μάθηση
- έχουν μία συνολική εικόνα της προόδου
- αναγνωρίζουν παρερμηνείες και λάθος συνδέσεις
- αναπτύσσουν κριτική και λογική σκέψη
Ακόμα αποτελούν για τους εκπαιδευτικούς:
- μέσο οργάνωσης και παρουσίασης του μαθήματος στην τάξη.
- διαγνωστικό εργαλείο για την ανίχνευση και αναπαράσταση των πρότερων γνώσεων.
- εργαλείο αξιολόγησης της μάθησης και της εξέλιξης της γνωστικής αλλαγής, μετά τη διδακτική παρέμβαση.
- τους βοηθούν να έχουν μια συνολική εικόνα της μάθησης και της προόδου
- τους βοηθούν να αναγνωρίζουν παρερμηνείες και λάθος συνδέσεις
Τύποι εννοιολογικών χαρτών
Στην παγόσμια βιβλιογραφία αναφέρονται 4 τύποι εννοιολογικών χαρτών:
Ιεραρχικοί εννοιολογικοί χάρτες (hierarchy concept maps)
Οι έννοιες παρουσιάζονται με ιεραρχική μορφή, όπου η πιο σημαντική έννοια τοποθετείται στην
κορυφή και κάθε επιμέρους έννοια τοποθετείται χαμηλότερα στην κλίμακα της ιεραρχίας ανάλογα
με τη σχέση που υπάρχει με τις υπόλοιπες έννοιες.
Αραχνοειδείς εννοιολογικοί χάρτες (spider concept maps)
Οι αραχνοειδείς εννοιολογικοί χάρτες τοποθετούν την βασική έννοιά τους, δηλαδή το θέμα τους
πού λειτουργεί ως ενοποιητικό στοιχείο, στο κέντρο τού χάρτη. Οι έννοιες οργανώνονται γύρω
από αυτό το κέντρο με φορά προς τα έξω.
Διαγράμματα ροής (flowchart concept maps)
Τα διαγράμματα ροής οργανώνουν τις έννοιες σε μια γραμμική ή κυκλική απεικόνιση που μπορεί να χρησιμοποιεί – σε μια πιο σύνθετη εκδοχή – και αλγορίθμους. Η μορφή ενός γραμμικού διαγράμματος ροής φαίνεται ενδεικτικά στο διάγραμμα που ακολουθεί.
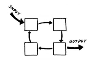
Συστημικοί εννοιολογικοί χάρτες (system concept maps)
Οι συστημικοί εννοιολογικοί χάρτες οργανώνουν το υλικό τους με παρόμοιο τρόπο με τα
διαγράμματα ροής, με τη διαφορά ότι έχουν επιπρόσθετα στα άκρα τους «Εισόδους και
Εξόδους». Όπως φαίνεται στο .ιάγραμμα 11, οι συστημικοί εννοιολογικοί χάρτες μπορούν
να πάρουν πολλές διαφορετικές μορφές.
Δύο λόγια για το CmapTools
Το CmapTools είναι μία εφαρμογή που σας επιτρέπει να δημιουργήσουμε χάρτες εννοιών, τους οποίους μπορούμε να εμπλουτίσουμε με πληθώρα πολυμέσων (όπως video και εικόνες). Το ψηφιακό εργαλείο αυτό προσφέρεται δωρεάν και έχει δυο τρόπους λειτουργίας. Ο πρώτος τρόπος είναι εγκαθιστώντας το στον υπολογιστή σας (σε τοπικό επίπεδο) ή δουλεύοντας το στην έκδοση cloud. Η έκδοση αυτή δεν χρειάζεται τοπική εγκατάσταση και βρίσκετε on-line και ο χριστείς μπορεί να τον χρησιμοποιήσει από οποιοδήποτε υπολογιστή απλός συνδεόμενος στον λογαριασμό του στην υπηρεσία. Μια σημαντική δυνατότητα που έχει το CmapTools είναι ότι συνδέει αυτόματα την τοπική εγκατάσταση του με την online και έτσι μπορούμε να επεξεργαστούμε τους χάρτες που έχουμε δημιουργήσει όποια στιγμή θέλουμε. Ακόμα μπορούμε να διανείμουμε μέσο του διαδικτύου τους εννοιολογικούς χάρτες που δημιουργούμε.
Παράδειγμα χρήσεις του CmapTools στην διδασκαλία τον θετικών επιστημών
Στα πλαίσια του μαθήματος Εκπαιδευτική Τεχνολογία – Πολυμέσα στη Διδασκαλία της Βιολογίας του μεταπτυχιακού προγράμματος σπουδών «Διδακτική της Βιολογίας» του τμήματος Βιολογίας του πανεπιστημίου Αθηνών δημιουργήσαμε έναν χάρτη εννοιών για την διδασκαλία μίας ενότητας της βιολογίας. Η έννοια που ασχολιθλικαμε είναι Σπερματογένεση, απο το 12ο κεφάλαιο του σχολικού βιβλίου της Α’ Λυκείου. Πιο συγκεκριμένα το κομμάτι κειμένου που χρησιμοποιήσαμε για τον εννοιολογικό χάρτη είναι το ακόλουθο:
“Στην ηλικία των 13 η τεστοστερόνη αρχίζει να διεγείρει τους όρχεις για συνεχή παραγωγή σπερματοζωαρίων. Στην περιφέρεια των σπερματικών σωληναρίων των όρχεων υπάρχουν τα πρόδρομα γεννητικά κύτταρα, τα σπερματογόνια (εικ. 12.5). Τα σπερματογόνια, που όπως και όλα τα κύτταρα του ανθρώπου έχουν 46 χρωμοσώματα, διαιρούνται μιτωτικά και δίνουν τα σπερματοκύτταρα. Αυτά με μειωτική διαίρεση θα δώσουν τις σπερματίδες με 23 χρωμοσώματα η καθεμία. Οι σπερματίδες στη συνέχεια υφίστανται διαδοχικές μεταβολές, που περιλαμβάνουν απώλεια μέρους του κυτταροπλάσματος τους και δημιουργία της μαστιγιοουράς. Τελικά, μετατρέπονται σε σπερματοζωάρια, καθένα από τα οποία αποτελείται από την κεφαλή, το ενδιάμεσο σώμα και την ουρά (εικ. 12.6). Η κεφαλή περιέχει τον απλοειδή πυρήνα του και τα ένζυμα, που θα το βοηθήσουν να διεισδύσει στο ωάριο. Το ενδιάμεσο σώμα περιέχει πολλά μιτοχόνδρια, τα οποία δίνουν ενέργεια για τη μετακίνησή του, που πραγματοποιείται με τη μαστιγιοουρά του (εικ. 12.5).”
Ο εννοιολογικός χάρτης που κατασκευάσαμε είναι ο ακόλουθος:
Πηγές για το άρθρο:

– Για κάποιο λόγο ο χάρτης δεν φαίνεται. Δείτε λίγο ξανά τον κώδικα μήπως υπάρχει κάποιο λάθος.
– Επειδή αναφέρεστε “Στην παγκόσμια βιβλιογραφία” (αν και δεν αποτελεί μέρος της εργασίας), θα σας πρότεινα να προσθέτατε επιπλέον βιβλιογραφικές αναφορές, όχι τόσο τον τρόπο που κάποιος τις αναλύει αλλά πρωτογενείς και πρωτότυπες. Ίσως αυτές που αναφέρονται κυρίως στον Novak να ήταν χρήσιμες.
– Δεν φαίνονται οι λέξεις κλειδιά, ίσως πρέπει να δείτε λίγο μήπως να αλλαχθεί το θέμα.